News
The Angle of Coincidence
Introduction
In times of stress in the markets, not only does volatility increase for individual assets, cross-asset correlations can increase dramatically as well. This results in a “double whammy” for a typical portfolio because the portfolio’s volatility increases due to both effects. Therefore, the ability to include correlations as well as volatilities in sensitivity analyses is critical when stress-testing portfolios. However crude approaches to stressing volatilities and correlations simultaneously can easily run into problems, as certain mathematical restrictions can quickly surface.
In particular, this comes down to the requirement that a correlation matrix must be non-negative, which is equivalent to saying that a portfolio of assets cannot have a negative variance. Given weights {wn} and correlations {ρmn}, this requirement states that
This can be rewritten as:

Note that we can easily move correlations closer to zero without running into trouble, so the problem is clearly not symmetric. For example if we multiply all correlations by ½, it is even more true that

The problem arises when the absolute values of pairwise correlations is increased. Noting that the absolute value of correlations cannot exceed 1.0, we can’t just double them. Thus we seek an approach that will safely allow us to increase correlations in a stress test while maintaining the non-negativity condition.
We introduce a structure that enables us to safely adjust correlation assumptions from a base level all the way up to 1.0, while maintaining the non-negativity condition. This gives rise to a number of applications, and we explore some of them in this article.
Basic Identities
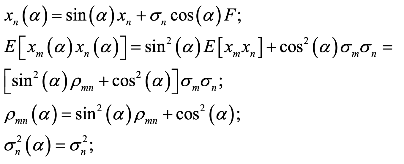
Let xn be the return of the nth asset (assumed to be a normally distributed random variable).
Let F be a unit normal random variable, independent of {xn}. Consider

We will call α the “angle of coincidence”, restricted to 0 ≤ α ≤ 90° or “AoC” for short (this is, of course, unrelated to the “AOC” designation, for Appelation d’Origine Contrôlée, that is awarded to certain French wines of distinction).
A Note Regarding Principal Components
If Ρ is the base correlation matrix, then Ρα = sin2 αΡ + cos2 α1 is the correlation matrix of the angle of coincidence α. It follows that if
is an eigenvector of Ρ (a.k.a. “principal component”) such that P
=λ
then Ρα
= λα
where λα = sin2 αλ+ cos2 α. That is, the principal components remain the same but the eigenvalues converge to 1.
Parametric VaR
Next, consider parametric VaR, determined by the usual variance calculation

Then

where
is the weighted sum of the σm‘s. Note that as we reduce σ from 90° to 0, the variance changes from the base case, σ2, to the “perfectly coincident” case, σ2max.
A Refinement
In practice, some return correlations may be pushed towards –1.0; for example,
- Bond prices and equity returns;
- Growth stocks versus value (due to momentum and other factors);
- Stress testing of Long-short portfolios where wm and wn have opposite signs;
- Gold versus everything else (when investors avoid all risk and seek a safe haven).
How can we accommodate this?
In this case we write
, where ![]()
Now we have

Examples
Here, we provide two examples of how the AoC approach can be applied in practice.
#1 – The “Double Whammy”
Consider a portfolio of ten equally weighted stocks. We maintain all of the individual stock volatilities at their current levels but adjust the pairwise correlations between them by decreasing α from 90° to 0°.

The following table shows the effect on various correlations when we change the AoC angle, α.

So, for example, at an angle (α) of 45°, a correlation of 0.40 increases to 0.70, and a correlation of 0.60 increases to 0.80. This has the overall effect of increasing portfolio volatility (and hence VaR) by about 25%, while keeping the individual volatilities constant.
One implication is that if, in a period of high volatility, investors decide to quickly and significantly reduce their equity exposures, or rotate out of equities entirely, both volatilities and correlations will be affected. In running stress tests for risk management, if we only increase volatilities, risk could be under-estimated by more than 25%. Even a modest shift in α of 30° (from 90° down to 60°) increases the portfolio’s VaR (pVaR) by 12%.
If we combine both a shift in volatility levels of +20% with a shift in the AoC to 30°, pVaR increases by 34%
(since 1.20 × 1.12 = 1.34).
Example #2 – A 60-40 portfolio of stocks and bonds
We examine the scenario of a high negative correlation between stocks and bond prices, and contrast it with the base case in which interest rates are unchanged.

In this case, we see that including the bonds produces a small reduction in VaR when the AoC is high, and a much greater comparative reduction as the AoC approaches zero.
Conclusion
The AoC approach provides a useful way to stress a pVaR calculation, and highlights its dependence upon correlation assumptions that can vary significantly, depending upon the measurement window used to estimate them. Even a modest shift in the AoC (say, of 30°, from 90° to 60°) produces a significant change in VaR without increasing volatility. This approach makes it possible to immediately assess the effects on pVaR of combining shifts in both volatilities and correlations without violating the non-negativity requirement for the correlation matrix.
In an upcoming blog we will show how to extend the AoC concept to Historical VaR.
Related News
Warning: Undefined variable $postId in /home/kraus/samplesite2/wp-content/themes/imaginesoftware/page-templates/part-newsentry.php on line 70
/ Equity Trading
TS Imagine EMS Integrates with Appital’s Bookbuilding Platform Ahead of Launch
EMS integration automates historically manual processes, unlocking hard-to-find liquidity for the buyside community.
Warning: Undefined variable $postId in /home/kraus/samplesite2/wp-content/themes/imaginesoftware/page-templates/part-newsentry.php on line 70
/ Risk Management
Limitations of HVaR:
When the Future No Longer Looks Like the Past
HVaR assumes that present market dynamics are captured in past behavior so what should we do when the world changes? Since Russia's invasion of Ukraine, commodity markets have entered new trading patterns and Lance Smith, TS Imagine Chief Strategy Officer explains some of the tools that can be used to help HVaR without disturbing other risk factors.
Warning: Undefined variable $postId in /home/kraus/samplesite2/wp-content/themes/imaginesoftware/page-templates/part-newsentry.php on line 70
/ Data / Data Quality
Research Summary: Prime Brokerage, Margin, Collateral and Data
This summary is based on research conducted between February and March 2021 with 20 banks looking at current trends and priorities for Prime Brokers in the Margin, Collateral and Data areas.

